서 론
빵은 인류 역사상 가장 오래되고 보편화된 주식 중 하나로, 단순한 영양 공급원을 넘어 각 지역의 문화와 식습관을 상징하는 중요한 식품이다(Dewettinck et al., 2008; Fardet, 2010). 다양한 종류로 발전된 빵은 영양학적인 기능뿐 아니라 소비자의 관능적 만족도까지 충족시켜 왔으며, 특히 풍미와 향기는 소비자의 제품 선택과 만족도에 큰 영향을 미치는 핵심 요소이다(Birch et al., 2013; Pico et al., 2015; Longin et al., 2020).
빵의 향기는 마이야르 반응과 캐러멜화 같은 열화학적 반응뿐 아니라, 반죽 발효 과정에서 효모의 대사 활동을 통해 생성되는 휘발성 유기화합물(VOCs, volatile organic components)에 의해 결정된다(Charissou et al., 2007; Purlis, 2010; Makhoul et al., 2015; Aslankoohi et al., 2016; Ayseli & Ayseli, 2016).
VOCs는 알코올, 에스터, 알데하이드, 황화합물 등 수백 가지로 구성되며, 효모의 유전적 특성과 대사 경로에 따라 향기 프로필이 달라지는 특징을 나타낸다(Hazelwood et al., 2008; Birch et al., 2013a; Birch et al., 2013b; De Vuyst et al., 2014).
현재 제빵 산업에서는 Saccharomyces cerevisiae종의 상업용 균주가 주로 사용되며, 안정적인 발효력과 예측 가능한 품질을 제공한다(Bai et al., 2022). 그러나 이러한 균주는 수십 년간의 산업적 활용을 통해 향미의 획일화를 초래했고, 이는 제빵 제품의 차별화된 향기 구현에 한계를 가져왔다(Aslankoohi et al., 2016).
이에 따라 최근에는 상업용 효모의 한계를 보완하고자, 다양한 야생 효모의 향미 생성 능력과 제빵 적성에 대한 관심이 높아지고 있다. 이들은 고유한 서식환경에 적응하며 독특한 대사 경로를 진화시켜 왔다(Bokulich & Bamforth, 2013). 특히, 과일, 꽃, 발효식품 등에서 분리된 야생 효모는 기존 상업용 효모와는 다른 종류와 비율의 VOCs를 생성하는 것으로 보고되고 있다(McKinnon et al., 1996; Aslankoohi et al., 2016). 그러나 모든 야생 효모가 제빵에 적합한 것은 아니며, 일부는 발효력이 낮거나 이취(off-flavor)를 유발하는 등 제빵 품질 저하의 원인이 될 수 있다(Spano et al., 2010).
Saccharomyces cerevisiae SPC-SNU 70-1은 전통 누룩에서 분리된 효모로, 부드럽고 순한 풍미, 우수한 발효력, 저발효취 특성을 지닌 것으로 보고되며, 현재 국내 제빵 산업에서 상업적으로 활용되고 있다(Park et al., 2021; Cha et al., 2025).추가로 유산균(LAB, lactic acid bacteria)을 활용한 발효는 빵의 풍미와 맛을 증진시키고 식후 혈당 및 중성지방 수치에 건강상 이점을 나타내는 것으로 보고된다(Gil-Cardoso et al., 2021; Pagliai et al., 2021; Kwon et al., 2022).
이에 본 연구에서는 약선누룩에서 분리된 Kluyveromyces marxianus NIYC1 균주와 유산균을 혼합 발효하여 나타나는 제빵의 품질과 및 발효 특성을 조사하였다. 이를 통해 상업용 효모의 한계를 보완할 수 있는 새로운 미생물 자원의 기능적 가능성을 확인하고, 발효 제빵 제품의 품질 개선에 기여하고자 한다.
재료 및 방법
본 실험의 식빵 제조에 사용된 재료는 Table 1과 같다. 밀가루(Mildawon Co. Inc., Gongju, Korea), 정제 설탕(CJ Co. Inc., Seoul, Korea), 쇼트닝(Samyangsa Co. Inc., Incheon, Korea), 소금, 제빵용 효모(Saccharomyces cerevisiae SPC-SNU 70-1, Choheung Co. Inc., Ansan, Korea)을 식빵 제조에 사용하였다. 실험군(KM)은 약선누룩에서 분리한 효모(Kluyveromyces marxianus NIYC1, Bisionbiocam Co. Inc., Korea)를 크림이스트 형태로 시생산하여 추가로 혼합 첨가하였다. LAB는 유산균(SPC Health-Guard 유산균 알파, Mediogen Co. Inc., Korea)을 추가로 혼합 첨가하여 식빵을 제조하였다. 해당 유산균은 1×1011 CFU/g 이상 농도의 L. plantarum (SPC 72-1) 10%, L. fermentum (SPC L751) 10%, P. pentosaceus (SPC L77-1) 10%, L. curvatus (SPC70-3) 5%, L. brevis (SPC70-2) 5%, F. sanfranciscensis (SPC12779) 5%로 구성되어 있다.
식빵은 AACC(American Association of Cereal Chemists) method 10-11을 일부 변형하여 중종법(Sponge-dough method)으로 제조하였으며, 배합비는 Baker's percentage를 적용하여 Table 1에 제시하였다.
먼저 1단계 재료들을 SK-20스파이럴 믹서(SK Mixer Co., Ltd. Saitama, Japan)를 이용하여 클린업 단계까지 혼합 후 4 h 발효하였다. 이후 유지를 제외한 2단계 재료를 넣고 저속 3 min 혼합한 뒤, 유지를 첨가하여 고속에서 7 min 혼합하였다.
1차 발효는 30℃, 상대습도 75%에서 60 min 진행하였으며, 이후 반죽을 380 g씩 분할하여 둥글린 후 30 min 휴지시켰다. 반죽은 one-loaf 형태로 성형한 뒤, 38℃, 상대습도 85%에서 60 min 동안 2차 발효하였다.
마지막으로 175℃로 예열된 오븐에서 35 min 구운 후, 내부 온도가 25℃에 도달할 때까지 실온에서 냉각하였다. 완성된 식빵은 폴리에틸렌 백에 밀봉하여 분석에 사용하였다.
제조된 식빵의 수분 함량은 적외선 수분측정기(FD-720; KETT Electric Laboratory, Tokyo, Japan)를 이용하여 105℃에서 8분간 측정하였다. 회분, 조단백 및 조지방 함량은 AOAC 공식 방법에 따라 분석하였다(International, 2000). 탄수화물 함량은 100 g 시료에서 수분, 회분, 조단백, 조지방 함량을 합산한 값을 100에서 차감하여 계산(100 – (수분 + 회분 + 조단백 + 조지방)하였다. 열량(kcal)은 (4 × 단백질(g)) + (9 × 지방(g)) + (4 × 탄수화물(g)) 식을 이용하여 산출하였다.
식빵의 비체적(specific volume)은 Volscan Profiler-VSP600(Stable Micro System Ltd., Surrey, UK)을 이용하여 AACC 10-05.01법에 따라 측정하였다.
질감 프로파일 분석(texture profile analysis, TPA)은 CTX texture Analyzer (AMETEK Brookfield, MA, USA)를 사용하여 수행하였다. 시험편은 두께 18 mm로 절단하였으며, 직경 50 mm의 원기둥형 프로브를 사용하였다. 시험 속도는 60 mm/min, 변형률(strain)은 50%로 설정하였다.
질감 평가는 빵을 제조한 지 1일, 3일, 6일차에 수행하였으며, 경도(hardness)를 주요 지표로 분석하였다.
발효 팽창력 평가는 Fermograph (ATTO, Tokyo, Japan)를 사용하여 수행하였다. 반죽 시 25 g을 취해 30℃에서 10 h 동안 10 min 간격으로 발생한 가스 부피를 기록하였으며, 시간 경과에 따른 가스 생산 곡선을 작성하였다(Fig. 2).
반죽 믹싱 직후, 2차 발효 종료 시, 최종 제품에 해당하는 반죽 및 빵 크럼을 각각 채취하여 pH 측정계(ORION STAR A211, Thermo Scientific, Waltham, USA)를 이용해 pH를 측정하였다. 총산도(TTA)는 시료 10 g을 90 mL 증류수에 균질화 한 후, 0.1 N NaOH 용액으로 pH 6.6과 8.5에 도달할 때까지 적정하여 산출하였다.
식빵 크럼(crumb) 1 g을 균질화한 후 GC vial에 옮기고, SPME 섬유(solid phase microextraction)를 이용하여 60℃에서 40 min 동안 휘발성 향기 성분을 흡착하였다.
흡착된 향기 성분은 GC-MS (Agilent Technologies, Palo Alto, CA, USA)를 통해 분석하였으며, GC 분석에는 DB-WAX 컬럼(60 m×250 µm×0.25 µm)을 사용하였다. 오븐 온도 조건은 40℃에서 5 min 유지한 뒤, 8℃/min의 속도로 230℃까지 승온하고 이후 10분간 유지하였다.
MS 분석은 전자이온화(EI) 모드(70 eV)로 수행되었으며, 이온화 온도는 230℃, 쿼드러플 온도는 150℃, 스캔 범위는 m/z 41–350으로 설정하였다.
분석된 휘발성 성분은 알코올, 알데하이드, 에스터, 지방산, 케톤 및 기타 그룹별로 분류하여 백분율로 나타냈다(Table 2).
결과 및 고찰
Table 3에 제시된 바와 같이, 수분 함량은 KM(36.17)에서 가장 높게 나타났으며, CON(35.37)과 비교해 유의한 차이를 나타냈다. 이는 균주 혼합 사용이 대조군 대비 상대적으로 높은 수분 보유력을 가지며, 반죽 내 수분 손실을 억제하는 특성이 있음을 시사한다. 다양한 대사경로를 통한 유기산 생성이 반죽의 구조를 조밀하게 만들어 수분 증발을 다소 억제한 것으로 판단된다.
회분, 조단백, 조지방 함량 및 열량은 각 그룹 간 유의한 차이를 보이지 않았다. 이는 동일한 배합비로 제조된 식빵에서, 균주의 종류 및 다양성이 무기질 및 단백질과 지방의 절대 함량에 미치는 영향은 제한적임을 보여준다.
그러나 탄수화물 함량은 CON이 가장 높았으며(49.03), 이에 비해 KM(48.20)은 유의하게 낮은 값을 나타냈다. 이는 KM 균주의 혼합 사용이 단일 균주 사용보다 당류를 보다 적극적으로 소비한 것으로 보인다. Fonseca et al. (2008)에 따르면 KM균주는 다양한 탄소원 대사능을 보유한다고 보고하였으며, 이는 식빵의 발효 과정이 더욱 활발히 이루어진 것으로 보인다. 또한 이러한 결과는 추후 향기성분 프로필에도 영향을 미칠 수 있음을 시사한다.
제빵 제품의 품질은 외형, 식감, 기호도 등 다양한 요소에 의해 결정되며, 이 중 비체적(specific volume)과 경도(hardness)는 제품의 구조적 완성도와 소비자 선호도에 직접적인 영향을 미치는 핵심 지표이다. 비체적은 반죽의 발효력과 가스 유지 능력을 반영하며, 경도는 저장 기간에 따른 노화(retrogradation) 속도와 텍스처 변화를 나타낸다. 따라서 본 실험은 서로 다른 효모 조합이 식빵의 구조적 특성과 텍스처에 미치는 영향을 평가하기 위해 수행되었다.
Fig. 1 및 Table 2에 따르면, 식빵의 비체적은 KM(4.94)에서 가장 높았으며, LAB(4.81), CON(4.58) 순으로 유의한 차이를 보였다. 이는 단일 효모보다 KM 균주 혼합 사용 시 가스 생성 능력과 기포 유지력이 이 우수하여 반죽의 팽창성과 최종 제품의 부피 향상에 기여했음을 시사한다. 특히 KM 균주는 다양한 탄소원 대사 능력과 고온 내성을 보유해 발효 과정에서 안정적인 팽창을 유도한 것으로 판단된다(Fonseca et al., 2008; Pentjuss et al., 2017). LAB 또한 CON 대비 높은 비체적을 나타냈는데, 이는 Su et al. (2019)의 보고와 같이 LAB 생성 유기산이 효모 발효 효율을 보조하거나 가스 생산을 촉진했을 가능성을 나타낸다.
경도는 저장 기간에 따라 점진적으로 증가하는 경향을 보였으며, 이는 식빵의 노화와 관련이 있다. 1일차 경도는 LAB(2.85)가 가장 낮았고, KM(3.10), CON(3.36) 순으로 통계적으로 유의한 차이를 보였다. 이는 KM 효모 및 LAB의 산 생성이 반죽 내 수분 유지와 조직 연화에 기여했음을 시사하며, 특히 LAB를 혼합 발효가 식빵의 초기 조직감 개선에 효과적임을 나타낸다.
3일차에는 KM(4.71)과 LAB(4.84)가 가장 낮은 경도 값을 보였고, CON(5.44)이 가장 높았다. 6일차 경도에서도 CON(7.04)은 KM(6.53), LAB(6.23)보다 유의하게 높았으며, 이러한 결과는 단일 균주보다 KM 균주 또는 LAB 혼합 사용이 식빵의 비체적과 조직감 측면에서 우수한 물리화학적 품질 특성을 제공할 수 있음을 보여준다.
제빵 공정에서 반죽의 발효 팽창력은 제품의 부피, 조직감, 기공 구조 등에 직접적인 영향을 미치는 핵심 품질 요소이다. 특히 효모의 가스 생성 능력은 반죽 내 글루텐 네트워크를 팽창시켜 최종 제품의 비체적과 텍스처를 결정짓는다. 따라서 본 실험은 서로 다른 효모와 유산균 조합이 반죽의 가스 발생량에 미치는 영향을 평가하고, 균주 혼합에 따른 발효 특성을 평가하기 위해 수행되었다.
Fig. 2에 따르면, 모든 처리군에서 발효 초기 가스 발생량이 급격히 증가한 후 점차 감소하는 패턴을 보였다. 이는 초기에는 당 대사가 활발하게 진행되다가, 기질 고갈 및 대사산물 축적에 따라 점차 억제되는 일반적인 효모 발효 특성을 반영한다(Aslankoohi et al., 2013).
그룹 간 비교 결과, KM은 전체 시간 동안 가장 높은 가스 발생량을 나타냈으며 최대치 도달 시점도 가장 빨랐다. 이는 KM 균주 혼합이 다양한 탄소원 대사 능력과 높은 발효 효율을 보유하고 있음을 시사하며, 앞선 비체적 및 조직감 결과와도 일관된다.
CON은 발효 초기 가장 낮은 가스 발생량을 보였으나, 발효 시간이 경과할수록 안정적이고 예측 가능한 발효 특성을 나타냈다. LAB은 KM보다는 낮지만 CON보다는 높은 가스 발생량을 보였으며, 이는 LAB의 산 생성으로 인한 반죽 내 pH를 저하가 효모의 대사 환경을 부분적으로 억제했을 가능성을 시사한다. 따라서 효모와 LAB의 혼합 사용 시 발효 공정 조절이 필요함을 나타낸다.
특히, KM은 발효 초기에 빠르게 가스를 생성하고 높은 생산량을 유지하여 반죽의 팽창성과 최종 제품의 부피 향상에 크게 기여하였다. 이는 KM 균주 혼합 사용이 식빵 제조 공정에서 발효력과 효율성 측면에서 우수한 특성을 지님을 보여주며, 당 함량이 높은 제빵 제품(Sweet dough 등) 개발에 있어 유용한 미생물 자원으로 활용될 가능성을 제시한다.
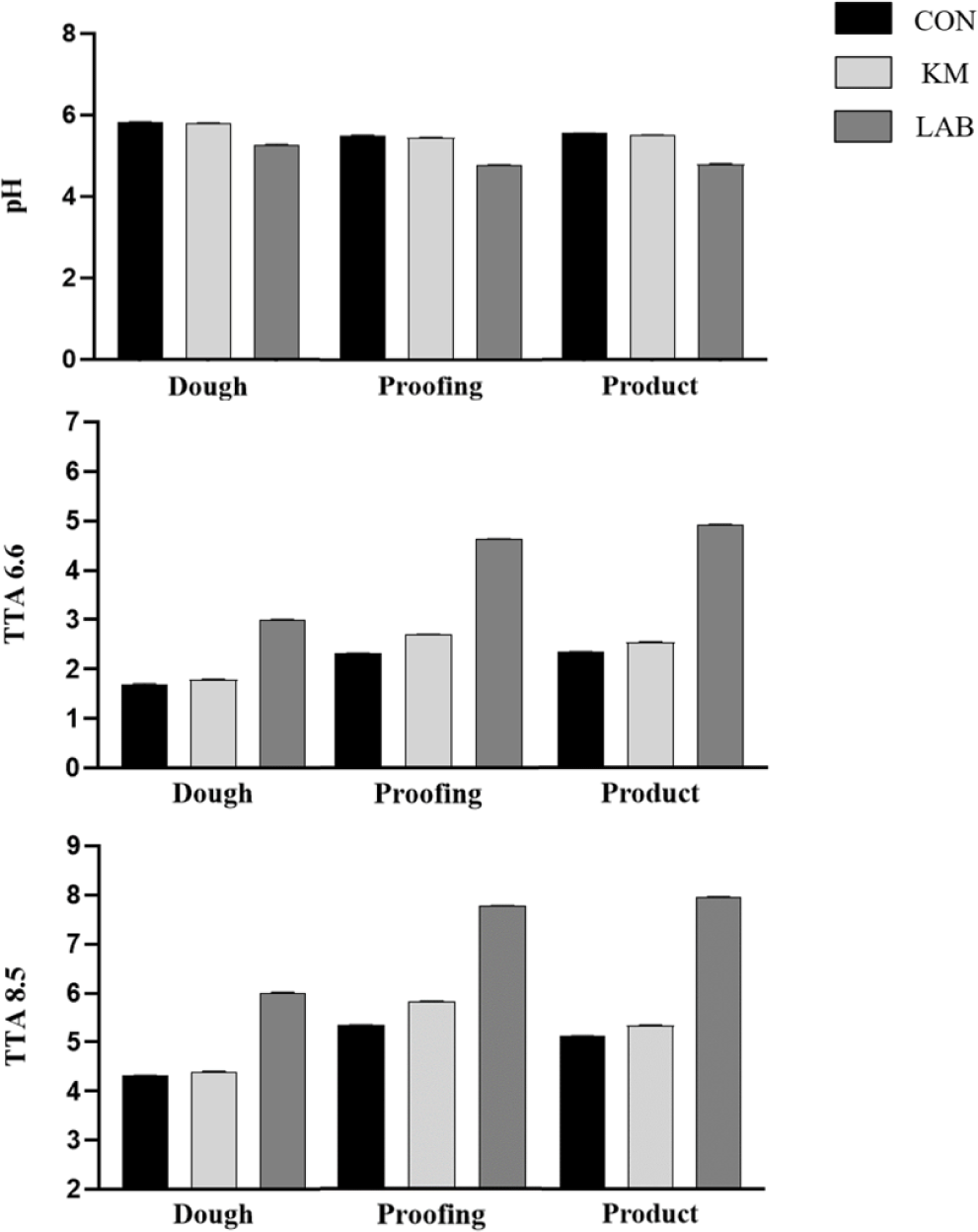
제빵 제품의 품질은 발효력, 조직 안정성, 저장성 등 다양한 요소에 의해 결정되며, 이 중 pH와 총 적정 산도는 반죽 내 미생물 대사 활성을 반영하고 최종 제품의 향미 복합성과 미생물 안정성에 직접적인 영향을 미치는 핵심 지표이다.
따라서 본 실험은 서로 다른 균주 조합이 식빵의 산도 특성에 미치는 영향을 평가하기 위해 수행되었다.
Fig. 3에 따르면, pH는 모든 조건에서 발효가 진행됨에 따라 점진적으로 감소하였으며, 이는 효모 및 유산균의 유기산 생성에 따른 산도 축적을 반영한다. 최종 제품 단계에서 LAB(4.80)는 가장 낮은 pH를 보였고, KM(5.50), CON(5.55) 순으로 나타났다. LAB는 모든 단계에서 가장 낮은 pH를 유지했으며, 이는 다양한 LAB의 젖산 생성이 반죽 내 산도 축적을 유도했음을 시사한다.
총 적정 산도는 발효가 진행됨에 따라 증가하였다. TTA 6.6에서 LAB(4.87)는 가장 높은 값을 보였으며, KM(2.53), CON(2.32) 순으로 나타났다. 이는 KM 균주와 LAB 혼합 발효가 CON보다 유기산 생성에 적극적으로 관여했음을 보여준다. TTA 8.5 기준에서도 LAB(7.99)는 KM(5.36), CON(5.14)보다 유의하게 높았다.
이러한 결과는 단일 효모 발효보다 KM 및 LAB 혼합 발효가 산도 조절 능력에서 우수함을 보여주며, 앞선 비체적, 조직감, 발효 팽창력 결과와 일관되게 식빵의 품질 향상에 기여할 수 있음을 시사한다. 특히 LAB 혼합 발효는 향미 강화뿐 아니라 저장성 개선에도 효과적인 전략으로 평가되며, 제빵 산업에서 활용 가능한 미생물 조합으로서 가능성을 제시한다.
제빵 제품의 향미는 소비자의 기호도와 제품 차별성에 직접적인 영향을 미치는 핵심 품질 요소이며, 특히 휘발성 유기화합물(VOCs)은 효모 및 유산균의 대사 활동을 통해 생성되어 제품의 향기 프로파일을 결정한다. VOCs는 알코올, 에스터, 알데하이드, 유기산, 케톤 등 다양한 화합물로 구성되며, 이 중 알코올, 유기산, 알데하이드는 빵의 과일향, 꽃향, 단맛 등 향미 특성에 영향을 미치는 주요 휘발성 성분이다(De Luca et al., 2021; Yang et al., 2022). 본 연구에서는 서로 다른 미생물 조합이 식빵의 향기 성분 조성에 미치는 영향을 비교하였다.
Table 4에 따르면, 알코올 그룹은 모든 그룹에서 가장 높은 농도를 나타낸다. 특히 LAB(0.75)가 가장 높았으나 CON(0.72), KM(0.72)과 유의한 차이는 없었다. 이는 LAB의 혼합발효가 Damiani et al. (1996) 연구에서 보고된 바와 같이, 효모를 보충한 사워도우의 에탄올 함량이 증가하는 결과와 유사한 경향을 나타낸다.
알데하이드 그룹은 KM(0.03), CON(0.03), LAB(0.04)로 세 그룹 간 유사한 수준을 보였으며, 에스터 그룹 역시 KM(0.03), CON(0.02), LAB(0.02)로 유의한 차이를 나타내지 않았다. 이는 세 그룹 모두 당류 및 아미노산 대사를 통해 유사한 수준의 알데하이드 및 에스터류를 생성했음을 나타낸다. KM과 LAB의 혼합 발효가 과일향 및 꽃향을 유도하는 에스터류(에틸 아세테이트, 페네틸 아세테이트 등)의 생성에 큰 영향을 미치지 않음을 나타낸다.
유기산 그룹은 KM(0.16)이 CON(0.11), LAB(0.11)보다 높은 값을 나타냈으나 통계적으로 유의하지는 않았다. 그럼에도 불구하고, 이러한 경향은 Pentjuss et al. (2017)의 연구에서 보고된 바와 같이KM 균주가 보유한 다양한 탄소원 대사 능력을 통해 유기산 생성을 향상시킬 수 있음을 시사한다. 이는 앞서 나타난 KM균주 혼합 발효 시 우수한 비체적 및 발효 팽창력 결과와도 관련되며, KM균주 혼합 발효의 전반적인 발효 효율성과 대사 활성의 우수성을 뒷받침하는 근거로 해석된다.
케톤 그룹은 CON(0.07)이 KM(0.04), LAB(0.04)보다 유의하게 높은 값을 나타냈다. 이는 아세토인 등 대사 과정에서 생성되는 풍미 강화 성분의 생성이 CON에서 가장 활발했음을 보여주며, 반대로 KM과 LAB의 낮은 케톤 생성은 부드럽고 순한 풍미 형성에 기여할 수 있음을 나타낸다.
기타 성분 그룹은 CON(0.04), LAB(0.03), KM(0.02)로 유의한 차이는 없었으며, 이는 KM 및 LAB 혼합 발효가 이취(off-flavor) 성분 생성 억제가 우수한 Saccharomyces cerevisiae SPC-SNU 70-1 균주와 비교하여, 이취 성분을 추가적으로 생성하지 않았음을 나타낸다.
이러한 결과들은 KM과 LAB 혼합 발효가 CON과 비교해 알코올, 에스터, 지방산 등 향기 핵심 성분의 농도를 유사하게 유지하면서 향미 복합성 형성에 기여할 수 있음을 나타냈다. 특히 KM과 LAB의 혼합 발효는 케톤 생성 및 이취 성분을 제어를 통해 식빵의 품질 향상과 소비자 기호도 개선에 유리한 조합이 될 수 있다. 이는 제빵 제품의 향기 특성을 개선할 수 있는 전략으로, 향후 기능성 제빵 제품 개발에 실용적으로 적용될 가능성을 제시한다.
결 론
본 연구는 약선누룩에서 분리한 야생 효모 Kluyveromyces marxianus NIYC1, 토종 제빵용 효모 Saccharomyces cerevisiae SPC-SNU 70-1, 그리고 LAB의 혼합 발효가 식빵의 품질 특성과 향기 성분에 미치는 영향을 조사하여 미생물 조합에 따른 제빵 적성과 향미 개선 가능성을 탐색하고자 하였다. KM은 높은 비체적과 발효 초기의 우수한 가스 생성능을 보여 제빵 제품 개발에 적합한 특성을 나타냈다. LAB는 저장 기간 동안 낮은 경도 증가와 안정적인 발효 패턴을 유지하며, 산도 조절과 향미 복합성, 풍미 강화 측면에서 긍정적인 효과를 보였다. 또한 KM은 산 생성과 향미를 개선하였으며, LAB는 알코올 함량 증가와 케톤 및 이취 성분 억제를 통해 향미 복합성과 기호도 개선에 기여할 수 있음을 나타냈다. 이러한 결과는 상업용 효모 단일 발효에 비해 KM과 LAB 혼합 발효가 발효력, 향기 생성, 조직감 및 저장성 측면에서 우수한 제빵 적성을 지님을 보여준다. 본 연구는 미활용 미생물 자원의 산업적 활용 가능성을 제시하며, 향후 다양한 균주 조합과 발효 조건 최적화를 통해 기능성 및 고부가가치 제빵 제품 개발 및 적용에 기여할 것으로 기대된다.






