Introduction
Processed foods with various materials distributable at room temperature require adequate heating sterilization during manufacturing. In particular, various root and leafy vegetables have many microorganisms that are highly thermostable, thus requiring retort sterilization (e.g., 15 to 30 min of heating under conditions of 121 °C and 2.1 kgf/cm2). In contrast, leafy vegetables are accompanied by remarkably low quality due to excessive tissue softening, browning, and taste degradation during retort sterilization with high temperature (Knirsch et al., 2010;Kaur & Singh, 2016;Hradecky et al., 2017).
Other methods that are widely used for long-term preservation foods including vegetables are various dehydration processes such as hot-air drying (AD), vacuum drying (VD), and freezing drying (FD). However, AD has various restrictions such as off flavor, tough texture, and browning reaction. FD also has disadvantages such as broken tissue and more expensive than other methods. Since freezing vegetables need a defrosting processing, quality deterioration and inconvenience in storage and eating can be a disadvantage (Icier et al., 2006;Lebovka et al., 2006).
To decrease pathogenic bacteria in vegetables, mixing, dipping, and spraying of various natural antimicrobial agents such as alcohol, organic acid, surfactants, bateriocin, and calcium can be used. However, their inactivation effects are relatively low. In addition, they can degrade the organoleptic quality, thus having many limitations in their use (Sun et al., 2011;Nistor et al., 2015).
Under such circumstances, ohmic heating has been studied recently as a new technology capable of overcoming the problems of high temperature sterilization of such retort. Ohmic heating, also known as joule heating or electrical resistance heating, is a new heating method that utilizes electrical resistance heat generated uniformly and rapidly within the food by electric current flow. Ohmic processing enables food heating with large particulates and carrier fluids at extremely rapid rates. Electrical conductivity is a key parameter in the design of an effective ohmic heating processing (De Alwis & Fryer, 1990;Knirsch et al., 2010;Shynkaryk et al., 2010;Kaur & Singh, 2016).
With this heating characteristic, many potential applications related to commercial heat treatment process exist for ohmic heating, including blanching, pre-treatment sterilization, cooking, pasteurization, and sterilization (Sastry, 2008;Kumar, 2018;Sawant et al., 2018). Beyond rapid heating, electric field of ohmic heating causes electroporation of cell membranes that can increase extraction rates, accelerate the movement of components with electrical polarity, and decrease gelatinization temperature and enthalpy. Such advantages of ohmic heating can be further utilized in various food processing such as concentration, extraction, dewatering, dehydration, and so on (Zareifard et al., 2003;Knirsch et al., 2010;Yang et al., 2014;Kaur & Singh, 2016;Bansode et al., 2019).
Ohmic heating can be faster than conventional retort heating. Thus, there is a high expectation for quality improvement in heat sterilization of vegetables that are weak to high temperature. As a specific case of related research, there has been a case study on a new blanching method of vegetables using ohmic heating (Sarang et al., 2008;Gomes et al., 2018) to evaluate the application of an alternative technology for vegetable blanching, the ohmic heating process, and compare it to conventional blanching of Tetsukabuto pumpkin (Sarang et al., 2008;Gomes et al., 2018). It was verified that ohmic heating accelerated the enzymatic inactivation process. For a reduction of higher than 90% in peroxidase initial activity, it took 2 min of ohmic blanching and 4 min of conventional blanching to achieve the same degree of inactivation (Wang & Sastry, 1993;Sarang et al., 2008;Gomes et al., 2018). Overall results indicated that ohmic technology was efficient to promote the inactivation of undesirable enzymes and maintain food color. In another related study, various compounds originated through fatty acids oxidation and Maillard reaction products were more abundant in conventionally retort sterilized samples compared to those treated by ohmic heating in vegetable baby foods (Leizerson & Shimoni, 2005;Knirsch et al., 2010;Kaur & Singh, 2016;Hradecky et al., 2017).
As described above, when ohmic heating is applied to vegetable foods, the temperature rise is faster and more uniform in comparison with the existing hot water and steam heating, thus shortening the heating time which is advantageous in quality improvement and preservation of nutrients. In order to apply ohmic heating to heat sterilization and pasteurization of various vegetable foods, it is important to understand detailed electrical properties such as electric conductivity and electrical capacity involved in the ohmic heating mechanism of various vegetables. In other words, if critical base data on electrical models and characteristics are available for each vegetable, it can be used for establishing the process by predicting optimal conditions of ohmic heating of vegetables using electric and model equations. Therefore, the objective of the present study was to determine detailed electrical properties and heating characteristics of vegetable under various ohmic heating conditions. Potato was selected as a representative vegetable with cell structure used in various processed foods.
Materials and Methods
Experiments were carried out by selecting potato as a representative vegetable which maintained plant cell tissue. Potatoes used in the experiments were purchased from food stores in Seoul and kept fresh in a refrigerator at 5 °C for use as samples.
The power supply unit of ohmic heating consisted of a function generator (Clarke-Hess Model 5500, Clarke-Hess Communication Research Corp., Medford, NY, USA) that could generate a square wave and a sine wave of 1 Hz to 100 MHz, a 2 kW rated amplifier (Fluke PM 591, Fluke Corp., Everett, WA, USA) capable of generating voltages up to 500 V, and an automatic overload cutout. The power supply unit was responsible for generating necessary voltage, current, frequency, and waveform.
Data measurement unit was composed of a watt meter (Fluke 41 80i-1000s, Fluke Corp.) capable of measuring power, an RCL meter for measuring and calculating impedance, capacitance, dielectric constant, and dielectric loss factor, and a data logger that could measure temperature and time. A control unit composed of a computer was used for storing and analyzing the overall control and experiment data of each device.
The heating cell (30×30×20 mm, W×L×T) was constructed from an upward-opening polypropylene box (90×90×50 mm, W×L×D). Aluminum was used as electrode material. To ensure safety during experiments, the heating cell was installed in a Pyrex box.
Potato sample (30×30×20 mm, W×L×T, 20 g) was placed inside the heating cell of the ohmic heating of batch type apparatus. Its ohmic heating characteristics such as electric conductivity and heating rate were then examined at various frequencies (40-1,000 Hz) and voltages (30-90 V). Effects of frequency and voltage for internal ohmic heat generation on heating of potato were investigated.
Electrical conductivities of samples were measured with an electrical conductor meter (CM-2A, Tokyo TOA Electronics, Tokyo, Japan). Current and voltage applied to the food during ohmic heating were measured using two digital multimeters (3500T, DM 303 TR, HC, Seoul, Korea). Resistance of food was calculated by applying Ohm’s law to measured current and voltage values. Waveforms produced by the function generator were observed on a two-channel 50-MHz oscilloscope (MO-1254 A, Meguro, Tokyo, Japan), including measurement of their frequencies. A thermistor with a thermocouple (T type, Shinhan, Seoul, Korea) was used to measure center temperature of heated sample. And the temperature was measured continuously and recorded at 5 sec intervals by data logger linked to a computer. The maximum temperature variability within the sample was 2 °C.
All data are expressed as mean and standard deviation values from five replicate measurements for treatment conditions. In order to verify significant differences (p < 0.05) between samples, one-way ANOVA and Duncan’s multiplerange test were conducted using Minitab (version MTB13, Minitab, State College, PA, USA).
Results and Discussion
Important factors that influence characteristics of ohmic heating include ash content, electrolyte component of the applied sample, and heating rate that increases proportionally as concentration increases. And the strength of applied electric field is a major factor. The higher the intensity, the more current flows to the inside and the faster the heating occurs (Halden et al., 1990;Kim et al., 1996;Knirsch et al., 2010;Kaur & Singh, 2016). Another key influencing factor in ohmic heating is electrical conductivity of food. Electrical conductivity is a function of temperature, and it is also influenced by the structure of food. In case of Kochujang and Doenjang that are Korean traditional seasoned foods fermented with soybean protein and salt as main ingredients, many electrolytic ions such as NaCl and polar molecules such as proteins, amino acids, and carbohydrates are contained in paste condition (Chang & Chun, 1982;Cho et al., 1994). Due to these components, the electric conductivity of Kochujang and Doenjang is very high. Thus, ohmic heating occurs rapidly at low voltage intensity such as 15 V/cm (Cho et al., 1994;Curet et al., 2013).
Meat-processed foods without cell structure such as ham and sausage that are mainly composed of crushed meat and salt exhibit heating characteristics similar to those of Kochujang and Doenjang (Cho et al., 1994;Icier & Bozkurt, 2011;Cha, 2014). In the case of sausage, protein and lipid emulsified gel made of ground meat which is the main raw material contains many polar molecules that can act as electrical conductors (Cho et al., 1994;Icier & Bozkurt, 2011;Cha, 2014). Dotorimuk, a Korean traditional food which is a gel form made of acorn, is similar to sausage without cell structure. However, it is composed of starch with low electrical conductivity. It is known that higher voltage such as 25 V/cm is required for ohmic heating (Chang & Chun, 1982;Cho et al., 1994;Cha, 2014).
Vegetable raw materials such as potatoes used in this study are expected to exhibit different ohmic heating properties from sausage and acorn jelly because potatoes maintain cell structure completely. Acorn jelly as starch gel has an ordered lattice structure and microstructure closer to the structure of plant tissue than protein gel of sausage. Therefore. it was estimated that ohmic heating pattern of potatoes would be similar to that of starch gel (Chang & Chun, 1982;Cho et al., 1994;Cha, 2014).
The electrical conductivity of potato with plant cell structure was 0.025 S/m, which was lower than that of mashed potato, starch gel and protein gel without cell structure. Specifically, the electrical conductivity of mashed potato was 0.137 S/m and that of rice starch and egg white protein was 0.046 S/m and 0.418 S/m, respectively, which was about 2-15 times higher than that of intact potato. The electrical conductivity of red pepper paste (Kochujang) containing large amounts of polar components such as protein, amino acid, and salt was 1.865 S/m, which was 75 times higher than that of intact potato.
Temperature dependence of the electrical conductivity of potato sample was also investigated. Experimental results are shown in Fig. 1. Its electrical conductivity increased linearly with increasing heating temperature. In the case of metal, when the temperature increases, oscillation of constituent atoms will gradually become active and the movement of free electrons is disturbed, thus reducing the electric conductivity. On the other hand, food such as potato with cell structure shows opposite phenomenon in that the conductivity of ion increases as temperature increases, similar to the temperature dependency of an insulator (Yoon et al., 2002;Samaramyake et al., 2005;Shynkaryk & Sastry, 2012).
The electric conductivity of paste food such as Kochujang with a high electric conductivity increases relatively rapidly with temperature increase (Chang & Chun, 1982;Cho et al., 1994). However, the electric conductivity of whole potato with cell structure was relatively low, and it was also gradually increased with increasing temperature. Since potato retains the tissue and the cell composed of the cell membrane acts as an electrical insulator, most of the electric current flows through the liquid between cells. Thus, its electric conductivity is lower than that of paste food without cell structure (Chang & Chun, 1982;Cho et al., 1994;Yoon et al., 2002).
Before investigating effect of voltage on ohmic heating in potatoe with cell structure, investigated the waveform effects using curved AC sine wave and rectangular square wave. In the experiment, sine wave and square wave with voltage of 30, 60, 90 V of 40 Hz frequency were applied to intact potato. Experimental results show that the temperature rise is faster than that of sine wave. (Fig. 2). In particular, the temperature increase of the square wave was significantly faster at 60 V, and the heating rate was 5.3 times faster than that of sine wave. On the other hand, in paste foods such as Kochujang and Doenjang which have no cell structure, the sine wave showed faster heating rate than the square wave. From the above results, it can be seen that square wave is more effective in increasing current flow related to the generated heat in potato with cell structure act as electric insulator.
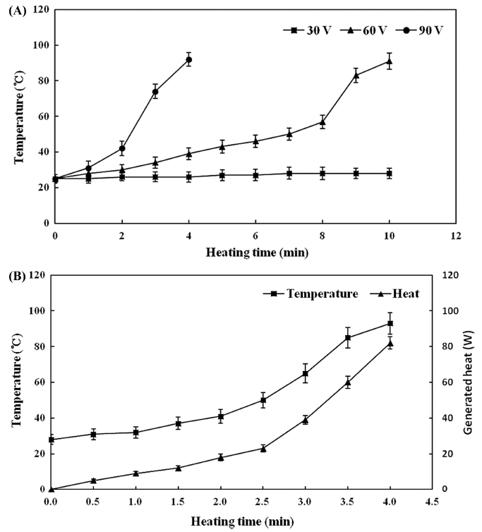
In order to investigate the influence of voltage on ohmic heating of whole potato with cell structure, temperature change pattern according to voltage increase at frequency of 40 Hz in square wave was examined. Experimental results showed that when the voltage was increased from 30 V to 60 V and 90 V, the temperature also increased in proportion to voltage increase (Fig. 3A).
Specifically, in square wave at a low voltage of 30 V, even when ohmic heating was performed for 10 min, electric resistance heat was small and the temperature of the potato hardly increased. On the other hand, the temperature of ohmic heating sharply increased from 8 min at 60 V, reaching 90 °C after 10 min. The temperature rise was rapid at 60 °C. It was due to increase of current flow by structural change related to gelatinization of starch. When food containing starch is heated, the regular micellar structure of starch is loosened by heat energy and water penetrates and swells. When further heating is continued, the micellar structure is destroyed and starch particles are converted into colloidal solution state, thus increasing the viscosity (Yoon et al., 2002;Icier & Bozkurt, 2011;Curet et al., 2013;Cha, 2014). After 60 °C, the starch hydrolysis process destroys cell structure and changes its composition. As a result, the electric current flow is improved and the amount of heat generated by the ohmic heating is also increased. Thus, the temperature rises rapidly. On the other hand, in the case of carrot and onion which do not contain starch component, the temperature rise is expected to occur uniformly because the component change at a specific temperature does not occur rapidly during ohmic heating.
In ohmic heating at 90 V, the temperature rised sharply from 2 min and reached 90 °C after 4 min. It was found that voltage rising was an important factor in ohmic heating. In order to investigate detailed characteristics at 90 V ohmic heating condition with the fastest temperature rise, specific heat value (3.52 kJ/kg· °C) of intact potato and temperature rise value during ohmic heating were used to analyze the generated heat amount. As shown in Fig. 3(B), the amount of heat generated by temperature increase was increased proportionally and the amount of heat generation was abrupt after 2 min, reaching 80 W after 4 min of ohmic heating. Based on above results, if potato was heated by using a voltage of 60-90 V, rapid and uniform heat generation was possible. Thus, it has commercial utilization of ohmic heating in various vegetable foods.
The influence of the various shape and size of the potatoes on the temperature rise pattern during ohmic heating at 40 Hz and 60 V was investigated. Experimental results show that the temperature rise of a rectangular parallelepiped potato with a large surface area and a thinner thickness is 4 to 5 times faster than that of the cubic and cylinder types (Fig. 4). Therefore, the heating rate of ohmic heating of vegetable foods depends on the shape and size, so it is important to optimize the voltage condition for rapid and uniform heating.
Effect of frequency on ohmic heating was investigated for potato with cell structure. Results of applying frequencies of 40 Hz, 120 Hz, 500 Hz, and 1,000 Hz in square wave at a voltage of 30 V are shown in Fig. 5(A). At a low voltage of 30 V, even if the frequency was increased, heat generation due to ohmic heating was very weak. The temperature increasing effect due to increase in frequency hardly occurred.
As a result of investigating the effect of increasing the frequency by increasing the voltage to 60 V, temperature rise was the slowest at 40 Hz. It was faster when the frequency was increased such as at 500 Hz and 1,000 Hz (Fig. 5B).
However, in the case of 120 Hz, although the frequency was lower than 500 Hz, heat was rapidly generated during ohmic heating and temperature increased quickly. Previous studies have shown that Kochujang, soybean paste, mashed potato with starch, sausage, and so on that do not have cell structure in ohmic heating have highly generated heat amount near 5 kHz, which was lower than the frequency of 10-20 kHz (Chang & Chun, 1982;Cho et al., 1994;Yoon et al., 2002, Icier & Bozkurt, 2011). Therefore, it was estimated that the frequency dependence of heating rate for each food was influenced by cell structure and intrinsic components affecting electrical properties. Since the whole potato has cell structure and ion component, it can be assumed that it is a composite with characteristics of electric resistance, a capacitor, and a coil element. Therefore, when the frequency is increased and a proper frequency is applied, the capacitance decreases. And the electric energy loss related to electric conductivity is increased. Thus, the amount of heat generated increases and the temperature rises rapidly (Cho et al., 1994;Yoon et al., 2002;Samaramyake et al., 2005;Icier & Bozkurt, 2011).
An electrical equivalent circuit comprising a resistor and dielectric can explain the heating mechanism of intact vegetables during ohmic heating (Chang & Chun, 1982;Cho et al., 1994;Yoon et al., 2002;Icier & Bozkurt, 2011). The R value corresponds to the resistance for leakage current by components in vegetables with properties of an electrical conductor. In raw vegetables with intact cell walls, the plasma membrane and extracellular fluid contain Na2+ and Ca2+ ions that can act as electrical conductors. In paste foods such as mashed vegetable, sauces, and jam without an internal structure, polarized electrolytes such as salt, amino acids, and proteins can act as electrical conductors (Chang & Chun, 1982;Cho et al., 1994;Curet et al., 2013). In contrast, the r value was resistance based on delay of polarization of electrolytes. Electrolytes in an ideal capacitor can rapidly orientate and polarize to affect a lossless current upon application of a voltage. However, components in vegetables acting as electrolytes cannot rapidly orientate on electrical polarization due to their high molecular weights and unique vibrations induced by ohmic heating at frequencies higher than 5 kHz (Cho et al., 1994;Curet et al., 2013). The orientation delay of electrolytes is called anomalous dispersion. It generates energy losses that can result in rapid internal heating of vegetable foods with cell structure. The electrical capacitance of intact whole potato with cell structure decreases gradually as the frequency of applied stimulation increases. However, electrical conductivity related to the generation of heating also gradually increases (Chang & Chun, 1982;Cho et al., 1994;Curet et al., 2013).
Heating characteristics of vegetable foods in ohmic heating were compared with water blanching of conventional heating method. Experimental results showed that the temperature rise of whole potato during water blanching was very late compared to ohmic heating. When heated at 90 V in ohmic heating compared to water blanching, the temperature of the potato rose very quickly, reaching 80 °C in 2 min and 90 °C in 4 min. The specific heat rate was about 20 times faster than the conventional heating method (Figs. 6A, 6B).
Therefore, the increase of center temperature of potato during ohmic heating occurred in a shorter time than that of water blanching. Thus, the quality of potato was not impaired due to heat and taste and flavor of potato remained well. Thus, blanching and heat sterilization processes of various vegetable foods with ohmic heating instead of conventional water or steam heating method can be highly applicable to commercial application because ohmic heating can obtain heat treatment effect in a short time by rapid and uniform electric resistance heating.
Based on the results of this study, commercial conditions of ohmic heating, which can be applied to various vegetable foods such as potato, carrot and onion, can be applied to 60-90 V Voltage, 60 Hz commercial frequency application proved to be suitable. And in addition to blanching and sterilization processes, the application areas of ohmic heating in vegetable foods are heating extraction of specific components in the production of vegetable extracts and can also be applied to heating and sterilization of various sauces containing vegetables.






