서 론
최근 건강한 삶과 식생활에 대한 인식이 강해져 식생활 의 간편화 및 고급화가 이루어짐에 따라 젤리와 같은 디저 트 식품의 소비가 증가하고 있으며(Yi et al., 2021b), 천연 식품 소재로 제조된 가공식품과 건강에 도움을 줄 수 있는 기능성 성분을 함유한 식품이 증가하고 있다(Moon et al., 2016). 디저트 식품 중 겔화제의 종류와 농도에 따라 다양 한 식감을 부여할 수 있는 겔(gel)상의 식품이 개발되고 있 는데(Lee, 2016), 겔상 식품으로 젤리는 산과 당류, 및 겔 화제 등을 혼합, 가열, 성형한 반고체 상태의 식품을 말하 며(Cho & Choi, 2010), 수분을 20% 내외를 함유하는 기 호식품으로 수분을 결합할 수 있는 겔화제인 펙틴, 한천, 젤란검, 카라기난 등 다양한 겔화제를 이용하여 만들어진 다(Moon et al., 2012). 또한 젤리는 저장성이 높아 현재까 지도 다양한 연령층에서 꾸준히 선호하는 식품이며 부담 없이 즐길 수 있는 디저트 식품으로 주목받고 있다(Lee & Ji, 2015).
젤리에서 물성은 다양한 소비자의 기호성을 충분히 충족 할 수 있는 요소이며, 겔화제의 첨가에 따라 쫄깃하거나 혹은 부드러운 물성의 식감을 개선할 뿐만 아니라 겔화제, 안정제 등의 다양한 이용가치가 있다(Kim et al., 2020). 겔을 형성하는 능력이 있는 겔화제는 다당류로서 친수성 콜로이드로 작용하고 주로 점도를 증가시키거나 식품 가공 에 리올리지나 텍스처를 개선하거나 수분 유지제와 안정제 등으로 사용하고 있다(Kwon et al., 2005). 다양한 생리활 성 소재 혹은 착즙액 등의 재료를 첨가하여 건강 지향성 특성을 증진시킨 젤리의 연구뿐만 아니라, 겔화제를 이용 하여 부드럽고 씹기 쉬운 물성으로 보완하여 소비자가 원 하는 식감을 제공하고 있다(Oh et al., 2013). 하지만, 대체 원료에 대한 물성을 이해하여 기존의 식품을 대체하려는 연구가 이루어지고 있어 다양한 겔화제에 대한 물리적 특 성이 관심을 끌고 있다(Kim et al., 2020). 젤리의 경우 첨 가하는 착즙액이나 기능성 소재에 의해 물성의 영향을 많 이 받는 식품으로 식품소재가 첨가되지 않고 겔화제만의 물리적 특성을 관찰한 연구는 부족한 실정이다.
따라서 본 연구에서는 9종의 겔화제로 카파카라기난 (KC), 아이오타카라기난(IC), 잔탄검(XG), 저메톡실펙틴 (LMP), 젤란검(GG), 한천(AG), 구아검(GU), 로커스트콩검 (LBG), 글루코만난(GM)을 이용하여 제조한 젤리의 종류 및 농도, 외부환경에 따라 달라지는 물리적 특성을 관찰하 고, 단일 혹은 이중 겔화제를 이용한 젤리의 물리적 특성 관찰을 통해 다양한 강도의 겔 형성 조건을 파악하기 위해 실시 되었고, 각각의 목적에 맞는 겔화제를 사용하기 위한 기초자료를 제시하고자 한다.
재료 및 방법
본 연구에서 사용한 겔화제는 카파카리기난(Genugel Carraggenan Type AKW, CP Kelco, Atlanta, GA, USA), 아이오타카라기난(Genutine Carrageenan type 310-C, CP Kelco), 잔탄검(Keltrol, CP Kelco), 저메톡실펙틴(GENU Pectin type LM-104 AS-BG, CP Kelco), 젤란검(Kelcogel, CP Kelco), 한천(Agar Agar Powder Q40K, Greenfresh, Longhai City, Zhangzhou, China), 구아검(Foodaid-FG60, Premcem Gums, Maharashtra, Mumbai, India), 로커스트콩검 (CESAGUM LN-1, TATE & LYLE, London, UK), 글루코만 난(Konjac gum YZ-JF-30H, Hubei Yizhi Konjac, Yichang, China)을 ㈜삼양사에서 공급받아 사용하였다. 젤리 제조에 사용된 부재료는 설탕(White Sugar, Samyang Corporation, Seoul, Korea), 물엿(Starch syrup), 구연산(Citric acid anhydrous, ES Food, Gunpo, Korea), 비타민 C (Vitamin C, ES Food)을 시중에서 구입하여 사용하였다.
단일 겔화제를 사용한 젤리는 선행연구를 통해 단일 혼 합물에 첨가된 겔화제의 농도는 1.2%로 고정하였으며, 이 중겔화제의 농도는 1.2% 안에서 분할하였고 제조공정과 배합비를 확립하였으며 설탕은 15% (w/w), 물엿은 13% (w/w), 비타민 C는 0.01% (w/w)로 고정하였고, 배합비는 Table 1과 같다. 9종의 겔화제의 농도를 1.2%로 고정한 뒤 구연산을 조절하여 pH를 3.6-3.7의 값이 되도록 각각의 구 연산 함량을 고정하였으며 겔화제의 농도(0.3-3%)를 달리 하여 단일 겔화제의 젤리를 제조하여 실험을 진행하였고, 젤리 제조과정은 Fig. 1과 같다. 또한 식품공전에 제시된 젤리의 식품규격을 충족하기 위해 젤리의 깨짐성이 평균 4-5 N가 될 수 있도록 겔화제를 달리하여 제조하였다(Food & Drug safety, 2021). 음용수를 80°C까지 가열한 후 설탕, 물엿, 구연산, 비타민 C를 첨가하여 250 rpm으로 5분간 가 열 및 교반해주었다. 잔탄검과 저메톡실펙틴, 구아검은 85°C에서 450 rpm으로 천천히 넣어준 후 15분간 교반해주 었고, 나머지 겔화제(카파카라기난, 아이오타카라기난, 젤란 검, 한천, 로커스트콩검, 글루코만난)는 85°C에서 350 rpm 으로 천천히 첨가하여 10분간 교반해주었다. 겔화제가 완전 히 용해되면 일정한 틀에 넣어 성형한 후 상온에서 10분간 식히고 4°C의 냉장고에서 24시간 냉각하여 제조하였다.

이중 겔화제를 사용한 젤리는 예비실험을 통해 9종의 겔 화제에서 6종의 겔화제(잔탄검, 로커스트콩검, 카파카라기 난, 젤란검, 한천, 글루코만난)를 선별하여 제조하였고, 물 엿은 17% (w/w)로 고정하였으며, 카파카라기난을 주 겔화 제로 사용하고 젤란검, 한천, 글루코만난, 로커스트콩검을 부 겔화제로 제조한 배합비와 잔탄검:젤란검, 잔탄검:한천, 젤란검:로커스트콩검, 한천:로커스트콩검의 조합으로 제조 한 젤리의 배합비는 Table 2와 같다. 젤리의 제조공정은 단일 겔화제를 첨가한 젤리의 제조공정과 같으나, 겔화제 를 첨가할 때 조건은 85°C에서 400 rpm의 속도로 15분간 교반하였다. 모든 처리구 중 겔화된 시료만 분석에 사용되 었다.
pH는 단일, 이중 겔화제를 첨가한 혼합물을 가열 및 교 반하는 과정에서 완전히 용해된 후 sol 상태의 젤리를 pH meter (S470 SevenExcellenceTM, Inti Inc., Schwerzenbach, Switzerland)를 사용하여 3회 이상 반복 측정하였다.
가용성 고형분은 단일, 이중 겔화제를 첨가한 혼합물의 용해가 끝난 뒤 85°C의 sol 상태의 젤리를 전자당도계 (PAL-BX, ATAGO Co., Ltd., Tokyo, Japan)를 사용하여 3 회 이상 반복하여 측정한 값의 평균값으로 나타내었으며, °Brix로 표기하였다.
깨짐성(Fracturability)은 식품공전의 물성시험법에 따라 측정하였다. 검체를 24시간 냉장 보관 후 gel 상태의 검체 를 10mm× 10mm× 10mm의 정육면체로 성형하고 Texture analyzer (CT3 10K, AMETEK Brookfield Engineering Laboratories, Inc., Middleborough, MA, USA)를 사용하였 다. 검체 1품목당 10개 이상의 검체를 준비하여 압착시험( 깨짐성)을 실시하고 probe 압착 시 첫 번째 피크의 높이 (N)로 측정하여 결과값으로 하였고 그 평균값을 사용하였 다. 측정 조건은 TA-35 mm를 probe로 사용하고, Fixture 로 TA-BT-KIT를 장착하여 compression 98%, trigger load 0.02 N, pre-test speed 5.0 mm/s, test speed 2.0 mm/s, post test speed 2.0 mm/s, sample rate 10 points/s, cycle count 1로 하였다.
결과 및 고찰
pH는 sol이 gel로 변하는 gelation에 크게 영향을 주는 것으로 알려져 있다(de Avelar & Efraim, 2020). 본 연구 에서 제조한 모든 종류의 젤리는 겔화제 농도를 1.2%로 고정하고, 미생물의 번식을 억제하고 겔화가 되기 위한 조 건으로(Cho & Noh, 2020) pH는 3.6-3.7이 되도록 구연산 첨가량을 조절하였다. 1.2%의 겔화제를 첨가했을 때 필요 한 구연산 첨가량은 Table 1에 나타냈다. Han & Han (2014)과 Cho & Lee (2013)의 연구에서 부재료의 첨가량 에 따라 젤리 제품의 pH 변화에 영향을 미치지 않는 것으 로 보고되었으나, 구연산 첨가량은 겔화제의 종류와 농도 에 따라 겔화제 고유의 pH가 다르기에 구연산 첨가량은 겔화제의 종류에 따라 달랐다. 1.2%의 겔화제 농도에 대한 구연산 함량을 확립 후 다양한 종류와 농도의 겔화제를 첨 가한 젤리의 pH는 Fig. 2와 같다. 9종의 겔화제는 겔화제 의 농도가 증가할수록 pH가 증가하는 경향을 보여주었고, 젤리의 겔 형성능은 sol 상태의 pH에 따라 달라진다고 보 고되었다(Kang et al., 2014). 전체적으로 1.2-1.5% 이상의 겔화제를 첨가하면 적정 pH 3.6-3.7을 벗어나는 경향을 보 였으며, 대부분의 겔화제는 1.2%의 농도에서 pH가 3.6-3.7 수준을 보였다. XG와 LMP의 경우 최대의 구연산 첨가량 인 0.12%를 나타냈고, KC와 AG는 가장 낮은 0.02% 구연 산 첨가량을 나타냈다. 겔화제의 첨가량에 따른 pH 변화는 XG가 가장 크게 나타남으로써 XG는 pH 변화에 큰 영향 을 주는 것으로 판단된다. 이중 겔화제를 이용하여 제조한 젤리의 pH는 Fig. 3과 같다. 단일 겔화제에서 확립한 적정 겔화제 농도 1.2% 안에서 두 겔화제의 혼합비율을 1.0:0.2, 0.8:0.4, 0.6:0.6으로 달리하여 제조하였으며, 이때 구연산 첨가량은 젤리의 pH가 3.6-3.7이 되도록 조절하였다. 1.2% 의 이중 겔화제를 첨가했을 때 필요한 구연산 첨가량은 Table 2에 나타냈으며 다양한 혼합비율의 이중 겔화제로 제조한 젤리 pH는 Fig. 3에 나타냈다. 다양한 겔화제 종류 및 혼합비율로 제조된 젤리는 모두 pH 3.6-3.7로 측정되어 겔화하는데 충분조건을 지닌 것으로 나타났다. 겔화제 종 류별로 pH에 영향을 미치는 조합도 있었는데, KC:GG 조 합에서는 GG의 비율이 증가할수록 구연산 첨가량이 증가 했으며 pH도 0.6:0.6 비율에서는 유의적으로 감소하였다 (p<0.05). KC:AG 조합에서도 AG 첨가량이 증가할수록 구 연산 함량이 증가하였으며, 유의적으로 pH도 감소하였다 (p<0.05). 반면에 KC:GM 조합의 경우 GM 비율이 증가할 수록 구연산 첨가량이 동일했지만 pH는 증가하는 경향을 보여(p<0.05) GM이 pH 변화에 영향을 준 것으로 판단된 다. KC:LBG 조합의 경우 LBG 비율 및 구연산 첨가량에 따른 유의적인 차이가 없었다(p>0.05). XG:GG 조합도 KC:GG 조합과 유사한 경향을 보이나 유의적 차이는 없었 다(p>0.05). GG 첨가량의 증가가 pH 감소에 영향을 주는 것으로 판단된다. XG:AG, GG:LBG, AG:LBG 조합은 혼합 비율에 따라 pH에 대한 변화가 일정하지 않았다.


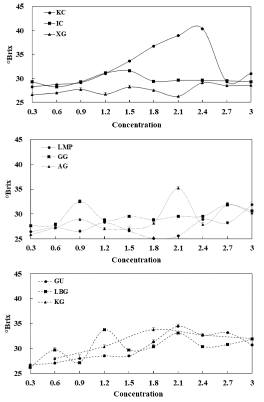
젤리를 제조할 때 첨가되는 재료 중 당의 함량이 높은 부재료 첨가가 일정량 이상이 되어야 젤리의 가용성 고형 분 함량에 영향을 미치는 것으로 보고되었으며(Choi & Lee, 2013), 다양한 종류와 농도의 단일 겔화제를 첨가한 젤리의 가용성 고형분 함량을 분석한 결과는 Fig. 4와 같 다. 전체적으로 단일 겔화제의 가용성 고형분은 25.8-40.4 °Brix의 범위를 나타내었으며 각 단일 겔화제의 평균 가용 성 고형분은 27.6-32.7 °Brix로 KC가 가장 높았고 LMP가 가장 낮았다. 가용성 고형분도 pH와 마찬가지로 겔화제의 종류와 농도에 따라 다른 결과를 초래하였다. 적정 겔화제 농도 1.2%에서의 가용성 고형분은 KC 31.0, IC 31.1, XG 26.7, LMP 28.3, GG 28.7, AG 27.0, GU 28.5, LBG 33.8, KG 30.4 °Brix를 각각 나타냈다. 이중 겔화제의 종류 를 달리하여 첨가한 젤리의 가용성 고형분 함량의 결과는 Fig. 5와 같다. 1.2%의 다양한 조합의 이중 겔화제는 29.4- 32.2 °Brix를 나타내었고, 대부분의 조합이 겔화제 종류 및 혼합비율에 따른 유의적 차이를 나타내지 않았다(p>0.05). 겔화제 총 농도가 같다면 각 겔화제의 혼합비율은 가용성 고형분 함량에 큰 영향을 미치지 않는 것으로 판단된다.


단일 겔화제를 사용하여 제조한 젤리의 외관은 Table 3 과 같다. 1.2% 농도의 9종의 단일 겔화제를 이용하여 젤리 를 제조한 결과 KC, GG, AG가 겔화되었으며 GG와 KC 는 냉각 후 젤리의 외부에 수분이 많이 발생해 촉촉한 외 관을 보였으나, AG는 표면이 건조한 외관을 보였다. IC, LMP, GU, LBG는 sol 상태로 유지되었으며, XG와 GM은 초기엔 겔화되었지만, 형태를 유지하지 못하고 시간이 지남 에 따라 변형되었다. 홍조류에서 추출 및 정제하여 얻어진 카라기난은 황산기의 수와 결합위치에 따라 카파카라기난, 아이오타카라기난, 람다카라기난(λ-carrageenan, RC)으로 나 뉜다(Langendorff et al., 2000). KC와 IC의 경우 겔 형성 능이 다른데, 이는 Yang et al. (2020)의 연구에 의하면 KC와 IC의 분자구조가 서로 달라서 냉각공정을 거치면 KC는 강하고 단단한 겔을 형성할 수 있지만, IC는 응집에 의해 안정화되지 않고 부드럽고 약한 겔을 형성할 수 있다 고 보고하였다. LMP는 냉각시간을 연장하여도 sol 상태를 유지하였는데 Lofgren & Hermansson (2007)과 Fu & Rao (2001)의 연구에 의하면, pH 6 조건에서 LMP 겔의 경우 Ca2+ 농도가 증가하면 겔이 더 빨리 형성되거나, 설탕의 유무에 관계없이 광범위한 pH에서 칼슘이 존재한다면 겔 을 형성할 수 있다고 보고하였다. 1.2%의 LBG는 실온에 서 형태를 유지하지 못하고 녹아내리는 현상을 관찰하였지 만, Yi et al. (2021a)의 연구에서 국내 시판하는 9종의 스 틱형젤리에 LBG가 모두 함유되어 있다는 것을 보고하였 다. 즉, LBG가 단일 겔화제로 사용할 수 없지만 다른 겔 화제와 혼합하여 사용한다면 겔 형성의 상승효과가 나타날 수 있다고 생각된다. GM은 XG와 유사한 겔 형성을 보였 으나 육안으로 판단하였을 때 젤리의 유동성으로 형태 유 지를 하지 못한 것으로 관찰되었다.
![]() |
이중 겔화제를 사용하여 제조한 젤리의 외관은 Table 4 와 같다. KC:GG 조합은 모든 혼합비율에서 겔화가 잘 되 었고 외부에 수분이 많았지만, 육안으로 식별했을 때 젤리 의 유동성이 없었으며 응집성도 높은 것으로 관찰되었다. KC:AG는 겔화가 잘 되었지만, 젤리가 으스러지는 경향을 관찰하였고 젤리의 유동성이 높아 분석을 하는데 적합하지 않았다. KC:GM과 KC:LBG 조합 모두 겔화되었으며 탄성 이 있는 외관이 관찰되었다. LBG를 단일 겔화제로 사용하 였을 때는 겔화가 되지 않았지만, KC와 혼합하였을 때 겔 화되어 시판하는 스틱형 젤리와 유사한 물성이 관찰되었다 . 앞서 언급한 것처럼 LBG가 단일 겔화제로 사용할 수 없 지만 다른 겔화제와 혼합하여 사용했기 때문에 겔 형성 상 승효과가 나타난 것으로 판단된다. Martins et al. (2012)의 연구에서 KC와 LBG가 혼합될 때 강도가 우수한 혼합물 이 형성되고, Dunstan et al. (2001)도 KC와 LBG가 일정 비율로 혼합하였을 때 시너지 효과가 상승한다고 보고하였 다. XG:GG, XG:AG의 조합에서 GG와 AG를 단일 겔화제 로 사용하였을 때는 겔 형성이 잘 이루어졌지만, XG와의 혼합으로 인해 겔 형성력이 다소 낮아져 겔이 무너지는 현 상을 보였다. 특히 AG의 경우 큐브성형 및 깨짐성 측정이 어려울 정도의 유동성과 변형을 보였다. GG:LBG 및 AG:LBG의 경우 모든 혼합비율에서 겔화되었으며, 0.6:0.6 혼합비율만 비교한 경우, XG와의 혼합과는 달리 LBG를 각각 GG와 AG를 혼합하였을 때 겔화가 더 잘 되는 것으 로 관찰되었다.
![]() |
외관 관찰에서 보인 주관적 겔 강도 등을 객관적으로 측정하기 위하여 식품공전에 명시되어 있는 젤리의 물성 시험법으로 texture analyzer를 이용하여 깨짐성을 측정하 였다(Food & Drug safety, 2021). 깨짐성(Fracturability)은 흔히 부서짐성이라고 하며, 프로브가 시료를 압축하면서 시료의 일부분이 먼저 부서지는 현상이 발생하는 것으로 서 피크의 힘 값을 사용하기 때문에 단위는 N을 쓴다. Texture analyzer를 이용하여 compression 조건으로 조직감 을 측정하게 되면 하나의 피크로 깨짐성과 경도가 분석이 되는데 이때, 첫 번째 피크를 깨짐성이라 칭하고, 두 번째 피크를 경도라 말한다. 젤리에 있어서 깨짐성은 중요한 조 직감 분석 중 하나로 고령자용 겔상 식품(Han & Han, 2014), 고령자용 감귤젤리(Lee et al. 2007), 여성 고령자를 대상으로 한 포도젤리(Choi et al. 2007)등 고령자와 어린 이를 대상으로 한 젤리가 많이 연구되어지고 있고, 각각의 목적에 따른 젤리의 물성이 중요하게 여겨지고 있다. 단일 겔화제를 달리하여 제조한 젤리의 깨짐성은 Fig. 6과 같다 . KC, GG, AG를 제외한 6종의 겔화제는 모든 농도(0.3- 3.0%)에서 졸에 가까운 물성을 보여 깨짐성을 측정할 수 없었다. 또한 KC, GG는 0.6%의 농도부터 겔화가 되었고, AG는 0.9%의 농도부터 겔이 형성되기 시작하였다. 각각 의 겔화제의 농도가 증가할수록 깨짐성은 증가하는 추세 를 보였다. 대부분의 농도에서 젤란검이 높은 값의 깨짐성 을 보였으며, 3.0% 농도에서는 젤란검(23.45±4.10 N) >한 천(20.64±1.81 N) >카파카라기난(19.30±4.29 N) 순으로 관 찰되었다.

이중 겔화제를 사용하여 제조한 젤리의 깨짐성은 Table 4와 같다. KC:GM과 XG:AG는 깨짐성 측정이 불가하였다. KC:GM은 부드럽고 질긴 물성으로 잘 깨지지 않아 성형 하는데 어려움을 겪었고 추가적으로 probe가 검체를 깰 수 없었으며, XG:AG는 모든 혼합비율에서 졸에 가까운 겔을 형성하였다. KC:LBG 조합을 제외하고 혼합비율에 따른 유의적 차이는 거의 나타나지 않았다(p>0.05). KC:LBG 조합의 경우 특히 0.6:0.6일 때 57.79 N으로 유의적으로 높게 측정되었다(p<0.05). KC와 LBG의 조합은 국내에서 시판하는 스틱형 젤리와 물성이 유사하였는데, Yi et al. (2021a)에서 연구한 G2와 G3는 본 연구에서 분석한 LBG:KC의 조합과 pH도 유사하고, 깨짐성도 근접한 값을 나타내었다. 본 연구에서 확립하려는 4-5 N에 적합한 조합 은 KC:GG의 1.0:0.2 (4.45±0.62 N), 0.8:0.4 (4.46±0.30 N), 0.6:0.6 (5.32±0.78 N)과 AG:LBG의 0.8:0.4 (4.68±0.41 N), 0.6:0.6 (5.57±0.57 N)로 나타났다. 겔상 식품 가공 시 이중 겔화제를 혼합하면 분자 간 상호작용으로 겔화에 상승효과 를 유도한다는 것을 관찰할 수 있었고, 깨짐성 측정이 겔 상 식품의 가공에 있어 조직감을 결정하는 중요한 요소임 과 동시에 관능적 특성을 결정하는데 중요한 요인이 됨을 보여주는 근거로 생각된다.
요 약
본 연구는 9종의 단일 겔화제를 사용하여 젤리를 제조 함과 동시에 9종의 단일 겔화제에서 6종을 선별하여 이중 겔화제를 사용한 젤리의 품질특성에 대해 분석하였다. 겔 화제의 종류와 농도에 따라 각각 다른 물성이 관찰되었으 며, 겔화제를 단일로 사용하였을 때 단독으로 겔 형성능 이 우수한 겔화제(카파카라기난, 젤란검, 한천)를 우선 선 별하였고, 단일 겔화제로 겔화가 잘되지 않아도 다른 겔 화제와 혼합하여 겔 형성능을 높이는 조합과 혼합비율을 찾을 수 있었다. 특히 카파카라기난이 중요한 겔화제로 작용이 되었는데, 선행연구에서 로커스트콩검과 글루코만 난은 단일 겔화제로 사용하였을 때 졸에 가까운 겔을 형 성하였으나, 카파카라기난과 혼합하여 사용하였을 때는 국 내에서 시판하는 스틱형 젤리의 물성과 근접한 겔을 형성 하는 것을 관찰하였다. 본 연구에서 최적 조건으로 확립 한 젤리의 pH 3.6-3.7, 깨짐성 4-5 N에 적합한 겔화제의 조합과 혼합비율은 카파카라기난과 젤란검(1.0:0.2, 0.8:0.4, 0.6:0.6), 한천과 로커스트콩검(0.8:0.4, 0.6:0.6)인 것으로 생각된다. 겔화제의 종류 및 농도를 달리하였을 때 나타 나는 물리적 특성의 변화는 겔상 식품에 있어서 중요한 요인으로 맛이나 식감에 큰 영향을 줄 수 있음을 보여주 는 사례로 생각된다.